Analyzing how foam expansion influences die design and extrudate shape.
Challenges
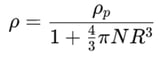
Foamed polyethylene extrusion is widely used in the manufacturing of lightweight and thermally insulating profiles. These materials combine low density with good mechanical and thermal properties, making them suitable for insulation parts in construction and industrial applications. However, the process itself is among the most demanding in polymer processing. When a physical or chemical blowing agent is introduced into the molten polyethylene, the resulting gas expansion during extrusion alters the flow behavior, local density, and final geometry of the extrudate.
Designing the extrusion die for such materials is particularly challenging. Once the foamed polymer exits the die, bubble growth continues and the material expands, which means the die lips must be shaped in a way that compensates for this post-extrusion swelling. The relationship between the die geometry and the final profile is strongly nonlinear, governed by the coupling of rheological behavior, pressure, temperature, and foaming kinetics.
The main challenges in foamed polyethylene extrusion include:
- Post-extrusion expansion, which changes the final profile shape.
- Strong coupling between polymer rheology, temperature, and bubble growth dynamics.
- Complex die compensation, as local swelling varies across the cross-section.
- High prototyping costs, resulting from repeated tooling and material waste.
The ability to predict foam expansion and its influence on the final profile therefore represents a valuable advantage for engineers seeking to design more reliable and cost-effective extrusion systems.
Engineering Solutions
Methods
Traditionally, die design for foamed polyethylene extrusion has relied on trial-and-error. Engineers adjust die geometry after each extrusion test to compensate for post-extrusion expansion. This approach often works but consumes time, material, and tooling resources. Numerical simulation provides a more efficient path. By modeling the coupled flow and foaming behavior, engineers can visualize how pressure, temperature, and viscosity affect bubble growth and the final profile.
With this approach, it becomes possible to:
- Predict foam expansion and its influence on the extrudate shape.
- Estimate the die lip geometry needed for the desired final profile.
- Reduce experimental iterations and material waste.
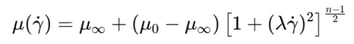
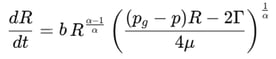
These simulations were carried out using Ansys Polyflow, a finite-element solver specialized in non-Newtonian and polymer processing flows. Polyflow includes constitutive models such as the Bird–Carreau law to represent the shear-thinning viscosity of polyethylene and can incorporate bubble growth kinetics through the Arefmanesh model. This combination allows the simultaneous prediction of flow behavior, foam density, and the overall expansion of the material at the die exit — providing insight into how foam development influences both the process and the final part geometry.
Solutions
To illustrate an example of application, a computational simulation was carried out using Polyflow under Ansys Fluent, which allows direct access to Polyflow’s rheological and foaming models within the Fluent environment. This setup was used to predict how foam expansion influences both the shape of the extruded polyethylene profile and the geometry of the die lips required to obtain it.
The picture below shows the geometry and mesh, which contains about 21,800 cells. Two cell zones (domains) are included: the die and the extrudate. The polymer flows through the die from left to right, and the software determines the die lip shape required to produce the desired foamed extrudate profile according to the the fluid properties and the boundary conditions imposed.

For this foaming case study, the following models are used:
- Density model. Defines the mixture density as a function of the gas volume fraction, accounting for the expansion of the polymer–gas blend during foaming.

- Viscosity model. Uses the Bird–Carreau law to describe the shear-thinning behavior of the polymer melt under deformation.

- Bubble growth model. Implements the Arefmanesh model to predict the evolution of bubble radius based on gas diffusion and pressure variations within the melt.

Results
The figure below illustrates how the gas–polymer mixture expands as it exits the die into the ambient, predicting the die lip shape required to produce the desired foamed polyethylene profile. The color scale represents the density field, where lower values (in blue) indicate the expanded regions of the foamed material. Additional results, such as the bubble size and velocity distributions, provide a deeper understanding of the foam growth dynamics and flow behavior throughout the extrusion process.

The next figure shows the density evolution along four sampling lines positioned downstream from the inlet to the die exit. Near the die (Lines 1 and 2), the density remains high, around 700–800 kg/m³, indicating that the gas–polymer mixture is still compact. As the flow moves outward (Lines 3 and 4), the density decreases sharply to below 100 kg/m³, reflecting the material expansion as the gas phase grows within the polymer matrix. This progressive reduction in density clearly illustrates the foaming behavior and the formation of the final extrudate shape.

A detailed overview of this process can be seen in the accompanying video, which demonstrates the complete workflow from geometry setup to foam expansion prediction. You can also download the input file to follow the same steps on your own.
Ozen Engineering Expertise
Ozen Engineering Inc. leverages its extensive consulting expertise in CFD, FEA, optics, photonics, and electromagnetic simulations to achieve exceptional results across various engineering projects, addressing complex challenges like multiphase flows, erosion modeling, and channel flows using Ansys software.
We offer support, mentoring, and consulting services to enhance the performance and reliability of your systems. Trust our proven track record to accelerate projects, optimize performance, and deliver high-quality, cost-effective results for both new and existing water control systems. For more information, please visit https://ozeninc.com.
Suggested blogs
Oct 14, 2025 5:13:17 PM